Métodos
Para la consolidación del ISI se han diseñado cuatro métodos diferentes:
Método 1
Comparación del porcentaje de ocurrencias de cada variante, a partir del cálculo y comparación del porcentaje de ocurrencia de las variantes de cada variable para cada hablante.
Método 2
Cálculo del Valor Ajustado Residual (ARV en inglés): a) cálculo de tablas de contingencia y pruebas de la Chi-cuadrada; b) obtención del Valor Ajustado Residual (ARV), que indica si los dos hablantes analizados tienen una distribución similar de las variantes o no; cuanto mayor es la diferencia entre los hablantes comparados, mayor es el ARV; c) ya que el ARV puede ser infinito, asignación de un valor a cada rango de ARV hasta a un máximo de 5; y d) el cálculo del ISI se obtiene mediante el cálculo de la suma de valores de cada variable dividido entre el número de variables multiplicado por 5 (el valor máximo de conversión ARV), según la fórmula siguiente:

Método 3
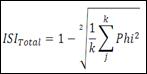
Cálculo del coeficiente de Phi: a) cálculo de las pruebas de la Chi-cuadrada y obtención del coeficiente de Phi, que se sitúa entre 0 y 1 e indica la fuerza de la relación entre las variables. El cuadrado del coeficiente de Phi representa el porcentaje de varianza conjunta; b) el ISI se obtiene mediante el cálculo de la media de cuadrados de Phi:

Córpora
Corpus para los módulos del inglés
- Módulo fonológico del inglés: 6 hablantes (todos del dialecto del sur de Inglaterra); 14 variables, 2 tiempos de medición (TM1 y TM2) y 3 métodos estadísticos aplicados.
- Módulo morfosintáctico del inglés: 6 hablantes (todos del dialecto del sur de Inglaterra); 7 variables, 2 tiempos de medición (TM1 y TM2) y 3 métodos estadísticos aplicados.
- Módulo pragmático-discursivo del inglés: 6 hablantes (todos del dialecto del sur de Inglaterra); 9 variables, 2 tiempos de medición (TM1 y TM2) y 3 métodos estadísticos aplicados.
Corpus para los módulos del catalán
- Módulo fonológico del catalán: 6 hablantes (4 del dialecto de La Canonja, comunidad de habla del tarragonés, y 2 del dialecto barcelonés); 18 variables, 2 tiempos de medición (TM1 y TM2) y 3 métodos estadísticos aplicados.
- Módulo morfosintáctico del catalán: 6 hablantes (todos del dialecto tarragonés de La Canonja); 7 variables, 2 tiempos de medición (TM1 y TM2) y 3 métodos estadísticos aplicados.
- Módulo pragmático-discursivo del catalán: 6 hablantes (todos del dialecto tarragonés de La Canonja; 8 variables, 2 tiempos de medición (TM1 y TM2) y 3 métodos estadísticos aplicados.
Córpora para los módulos del español
- Módulo fonológico del español: 5 hablantes del mismo dialecto mexicano, 5 en TM1 y 5 en TM2; 13 variables y 3 métodos estadísticos aplicados.
- Módulo morfosintáctico del español: 6 escritores (todos del mismo dialecto del español peninsular); 10 variables, 2 tiempos de medición (TM1 y TM2) y 3 métodos estadísticos aplicados.
- Módulo pragmático-discursivo del español: 6 hablantes (todos del mismo dialecto del español peninsular); 10 variables, 1 solo tiempo de medición (TM1) y 3 métodos estadísticos aplicados.
Módulos
Para los módulos fonológicos, examinamos las muestras orales mediante el método auditivo-acústico, el cual combina el uso de técnicas especializadas en el análisis de la voz (que normalmente consisten en programarios especializados en el análisis acústico de la voz) con el conocimiento del lingüista de las propiedades acústicas y físicas de la señal de voz, especialmente sobre aquellas propiedades del sonido de la lengua que se está analizando.
Para el análisis de los módulos morfosintáctico y discursivo-pragmático, identificamos y codificamos las variables de análisis para cada muestra de texto.
Resultados
- El método 3 resulta ser el más fiable y el que permite obtener resultados más concluyentes.
- Para todos los módulos y lenguas se confirma la hipótesis 1, en el sentido de que hay más variación, y por tanto mayor distancia idiolectal, entre hablantes y escritores (variación inter) que en el estilo idiolectal de un mismo individuo (variación intra).
- Para todos los módulos y lenguas se confirma la hipótesis 2, en el sentido de que el estilo idiolectal de un individuo no varía demasiado a lo largo del tiempo.
- Los valores del ISI inter-hablante/escritor pueden parecer demasiado altos, pero hay que tener en cuenta que, excepto en el caso del módulo fonológico del catalán, en todos los módulos se han considerado hablantes y escritores del mismo dialecto.
Informe completo del proyecto